生命经纬

您现在的位置是:首页 > 肿瘤资讯 > 胃癌

胃癌



European Radiology:脂肪组织的影像学特征与胃癌术后并发症及总生存率的关系

2022-10-26胃癌


据统计胃癌是全世界诊断率第五高的癌症,也是癌症死亡的第三大原因。迄今为止,根治性胃切除术仍然是治疗胃癌最有效的方法。然而,胃癌根治性切除术后的并发症发生率相对较高,严重的并发症直接导致患者死亡。因此早期对接受胃癌手术的患者进行风险评估,并在手术前预测术后并发症和其他不良后果的风险,以指导患者的治疗方案和随访策略是非常必要的。

近年来的研究表明,脂肪组织不仅是能量储存器官,而且在代谢和内分泌功能方面也发挥着作用。然而脂肪细胞分泌各种脂肪因子,促进血管生成,为肿瘤细胞提供能量,促进肿瘤进展和癌细胞侵袭,而癌细胞可进一步诱导脂肪细胞引起脂肪组织的炎症和纤维化变化。因此患者脂肪组织的炎症和纤维化与癌症的侵袭性和不良预后有关。

计算机断层扫描(CT)已被证实可以定量评估身体脂肪,腹部单一轴位图像上的脂肪组织面积的测量与全身脂肪组织的体积密切相关。辐射密度(Hounsfield单位,HU)为一种新的成像生物标志物,与癌症患者的预后高度相关。然而,只有少数研究关注脂肪组织的影像学特征与胃癌患者的并发症和生存率之间的关系。

近日,发表在European Radiology杂志的一项研究评估了接受根治性胃切除术的胃癌患者术前内脏脂肪组织(VAT)和皮下脂肪组织(SAT)的面积和HU,并探讨了这些指标与患者术后并发症和总生存率(OS)的关系。

本研究纳入了122名患者患者每位患者均于2013年2月至2016年5月接受了腹腔镜胃癌根治术治疗。通过术前计算机断层扫描研究SAT和VAT的放射学特征,评估脂肪组织的参数与患者术中、术后情况及OS率之间的关系。 

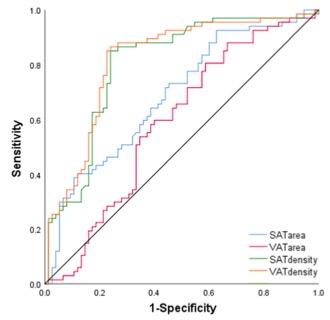
本研究发现,VAT面积与手术时间呈线性正相关,VAT密度与术中失血量呈线性负相关(两者均为P<0.05)。VAT面积是术后并发症的独立风险因素。VAT面积和VAT密度是胃癌OS的独立危险因素。 

 
 预测OS的SAT面积、SAT密度、VAT面积和VAT密度的ROC曲线图

本研究表明,高VAT面积是胃癌术后并发症的独立风险因素,VAT面积和VAT密度是胃癌患者OS的独立危险因素。在此基础上,可以进一步建立一个胃癌手术风险评估模型,为临床提供营养状况和生物因素的、以参考患者脂肪组织的影像学特征为基础的综合指标,更好地指导临床治疗、改善胃癌患者的预后。

原文出处:

Linjie Bian,Danping Wu,Yigang Chen,et al.Associations of radiological features of adipose tissues with postoperative complications and overall survival of gastric cancer patients.DOI:10.1007/s00330-022-08918-w

文章评论